锂电池安全不是说出来的 是算出来的
发布时间:2016年08月15日 06:33 来源:锂粉焙烧技术
今天我们带大家了解一下安全模型的应用方法,并以18650电池的安全实验数据为依据,推导锂离子电池的安全模型。
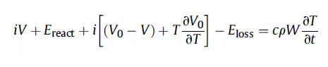
锂离子电池的热失控和爆炸是锂离子电池使用中最危险的情况,为了能准确的描述锂离子电池的风险状况,Wang等根据灾难理论分析了锂离子电池热失控和爆炸风险发生的可能性,首先他们分析了锂离子电池产热过程

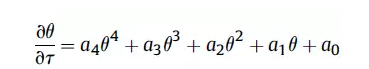
其中i和V为电池两极输出电压和电流,Ereact为电池内部材料和SEI膜分解产生的总热量,Vo为平衡电势,T为绝对温度,Eloss为通过热传导和热辐射的散热速率,右边则表示电池总的加热速率,其中C为比热容,ρ质量密度,W为总体积,t为时间。根据该公式可以推导出如下公式

其中θ为无量纲温度,Τ为无量纲时间,αn为考虑到不同的分解反应的活化能和产热的参数。基于该公式可以对圆柱型锂离子电池的热失控过程进行描述,描述过程是基于三个变量U、V、W,而这几个变量又是基于θ和αn两个值。
由于电池的安全性与电池滥用是负相关的,因此有如下关系

可以将安全函数计算公式设为如下模式,其中g(x)为滥用函数,当g(x)趋向无穷大的时候,安全函数趋向0,表明电池极度不安全,而滥用函数g(x)为0的时候,电池完全没有滥用,因此电池安全函数值为1,表明电池是完全安全的。

一般我们可以设安全函数阀值为0.8,当安全函数值小于0.8时,就可以判定电池处于危险状态。该公式应用的关键是找到一个合适的滥用判断函数,滥用函数要包含多种与电池状态相关的变量,例如电池的使用温度T,输出电流I,电压V,荷电状态SOC,以及电池健康状态SOH等参数。

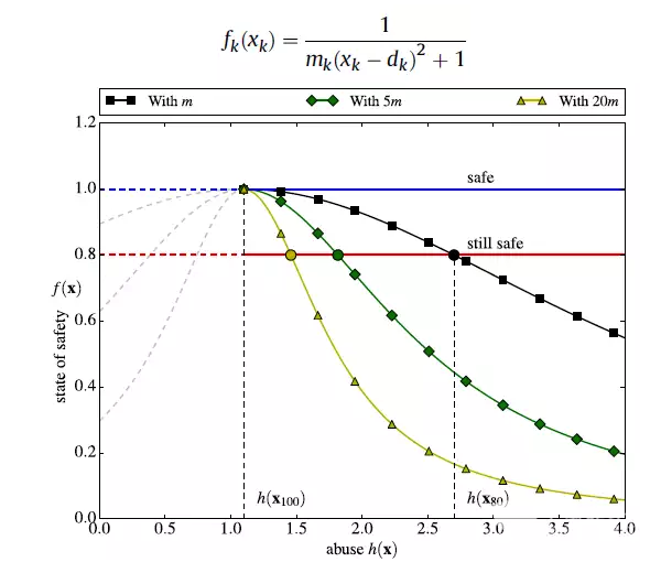
鉴于高维函数难以推导,因此我们尝试降低难度,以单一变量推导ƒsafe函数,可以用于判断电池安全性的指标有多种,例如电流、电压、温度等,我们尝试利用容量为1.1Ah的磷酸铁锂18650电池进行相关安全实验推导ƒsafe函数。下面我们将以电流这个变量尝试推导安全函数ƒ与电流之间的函数关系。
实验中发现在20C的电流下,磷酸铁锂18650电池是完全安全的,但是当电流达到30C的时候,电池温度开始升高,因此我们可以认为X<20C以下的时候,电池是完全安全的,因此安全函数ƒ值为1,30C以上时电池是不安全的,即电流为X=30C时,ƒ值为0.8。根据如下公式进行推导计算

经过相关计算得出d=20,m=0.0025,因此对于电流这个变量有如下安全函数

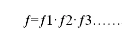
可以利用如上方法推导的单个变量的安全函数,当安全函数值小于0.8时电池就处于危险状态了,根据该函数就可以对电池的安全状态进行实时监控。电池对于多个变量的总体安全函数可以定义为如下形式,并根据实际情况确定一个ƒ值,以确保ƒ在该值以上电池是安全的

从上面推导过程可以注意到,该方法最重要的点是如何选择一个ƒ=0.8的点,这需要根据具体电池系统对安全性要求的高低进行确定,例如对安全性要求较高的电动汽车领域就需要对ƒ=0.8点选择更加严格,而手机电池就可以适当的放宽一些。
该方法将电池安全性指标概念性的描述转变为一个函数,由此可以获得一条电池安全性曲线,对电池安全性的评估也更加直观,并对多个影响电池安全性的变量进行整体的跟踪,即时确定电池的安全状态,方便BMS系统对电池的管理。
链接:/supply/2016/0815/article_73164.html
XINGKONG.COM推荐阅读
XINGKONG.COM[www.otol-cn.com]版权及免责声明:
1、凡本网注明“来源:www.otol-cn.com” 的所有作品,版权均属于XINGKONG.COM,未经本网授权,任何单位及个人不得转载、摘编或以其它方式使用上述作品。已经本网授权使用作品的,应在授权范围内使用,并注明“来源:www.otol-cn.com”。违反上述声明者,本网将追究其相关法律责任。
2、凡本网注明 “来源:XXX(非XINGKONG.COM)” 的作品,均转载自其它媒体,转载目的在于传递更多信息,并不代表本网赞同其观点和对其真实性负责。
3、如因作品内容、版权和其它问题需要同本网联系的,请在30日内进行。
※ 有关作品版权事宜请联系:copyright#chinabuses.com
1、凡本网注明“来源:www.otol-cn.com” 的所有作品,版权均属于XINGKONG.COM,未经本网授权,任何单位及个人不得转载、摘编或以其它方式使用上述作品。已经本网授权使用作品的,应在授权范围内使用,并注明“来源:www.otol-cn.com”。违反上述声明者,本网将追究其相关法律责任。
2、凡本网注明 “来源:XXX(非XINGKONG.COM)” 的作品,均转载自其它媒体,转载目的在于传递更多信息,并不代表本网赞同其观点和对其真实性负责。
3、如因作品内容、版权和其它问题需要同本网联系的,请在30日内进行。
※ 有关作品版权事宜请联系:copyright#chinabuses.com
热点新闻
- 陈华出任康明斯中国供应链、质量和信息技术执行总监[09-26]
- 成都客车森鹏电子共携手 绘制海外绿色交通新篇章[09-26]
- 逐鹿欧美市场 精进电动耀动2024汉诺威商用车展[09-26]
- 玉柴参加“与中国驻东盟经商参赞面对面”交流会[09-26]
- 北京祥龙公司与宁德时代签署战略合作协议[09-26]
- 媒体关注:从未势能源看中国氢能企业的全球化之路[09-25]
- 尽显“全天候”品质 欧辉BJ6105确实有点大不同 [09-25]
- 森鹏出海 领航商用车数智化转型[09-23]
品牌推荐
更多>>