公告盘点:第19批道路运输车辆达标车型公示
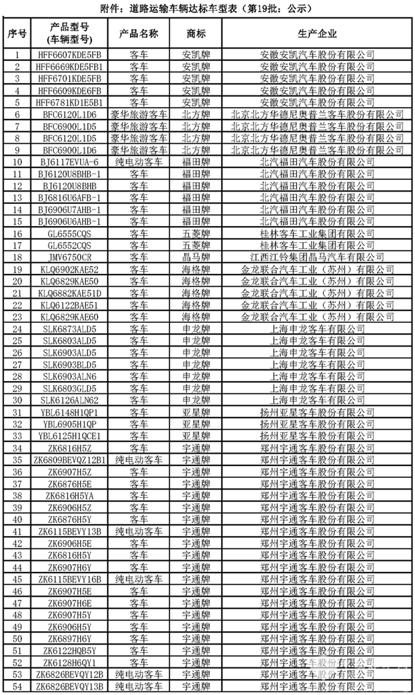
2020年3月30日,交通运输部公示了第19批道路运输车辆达标车型。本批次达标车型共包括客车73款,其中纯电动客车8款、豪华旅游客车4款。

据XINGKONG.COM统计,入选的73款客车产品来自于11家客车企业,分别为:宇通客车29款、中通客车10款、申龙客车7款、福田欧辉客车6款、安凯客车5款、海格客车5款、北方客车4款、亚星客车3款、五菱客车2款、江铃晶马客车1款、豪沃客车1款。从上榜数量上看,宇通客车29款为数量最多。
值得一提的是,本批达标的客车车型中包含8款纯电动客车,其中宇通客车有6款,中通客车和福田欧辉客车各1款。
《公示》原文如下:
道路运输车辆达标车型表(第19批)公示
根据《中华人民共和国节约能源法》《中华人民共和国道路运输条例》《道路运输车辆燃料消耗量检测和监督管理办法》,以及《交通运输部办公厅关于贯彻落实习近平总书记重要指示批示精神切实加强道路运输安全监管工作的通知》《交通运输部办公厅关于贯彻落实交通运输行业标准<营运客车安全技术条件>(JT/T1094—2016)的通知》《交通运输部办公厅关于做好交通运输行业标准<营运货车安全技术条件>(JT/T1178.1—2018)落实工作的通知》《交通运输部办公厅关于贯彻落实交通运输行业标准<营运客车类型划分及等级评定>(JT/T325—2018)的通知》等有关规定,现对通过技术审查的《道路运输车辆达标车型表(第19批)》进行公示(详见附件),公示期为5个工作日。
公示期内如有异议,请向交通运输部公路科学研究院汽车运输研究中心反映。联系电话:010—62014121,传真:010—62079727,电子邮箱:atestsc@rioh.cn。
附件:道路运输车辆达标车型表(第19批:公示)
交通运输部运输服务司
2020年3月30日
附:道路运输车辆达标车型表(第19批:公示) (客车部分)


1、凡本网注明“来源:www.otol-cn.com” 的所有作品,版权均属于XINGKONG.COM,未经本网授权,任何单位及个人不得转载、摘编或以其它方式使用上述作品。已经本网授权使用作品的,应在授权范围内使用,并注明“来源:www.otol-cn.com”。违反上述声明者,本网将追究其相关法律责任。
2、凡本网注明 “来源:XXX(非XINGKONG.COM)” 的作品,均转载自其它媒体,转载目的在于传递更多信息,并不代表本网赞同其观点和对其真实性负责。
3、如因作品内容、版权和其它问题需要同本网联系的,请在30日内进行。
※ 有关作品版权事宜请联系:copyright#chinabuses.com
- 每辆补贴4.2-8万元!新能源城市公交及动力电池更新补贴标准出台[09-26]
- 交通运输部:全力做好2024年中秋国庆假期交通运输服务保障[09-13]
- 12城入围!交通部印发2024年城市公交优先发展和绿色出行典型案例[09-13]
- 交通运输部修订印发《汽车客运站安全生产规范》[09-12]
- 六部门组织开展2024年绿色出行宣传月和公交出行宣传周活动[09-06]
- 工信部等八部门:做好老旧新能源城市公交车辆动力电池更换工作[08-21]
- 行业观察|国务院审议通过《城市公共交通条例》将为行业带来哪些利好?[08-20]
- 政策解读|交通部印发《农村客货邮运营服务指南(试行)》的通知[08-16]